Α' ΔΕΣΜΗ  -   23/5/2001
ΕΞΕΤΑΖΟΜΕΝΟ ΜΑΘΗΜΑ: ΦΥΣΙΚΗ

ΖΗΤΗΜΑ 1ο

A. Να δώσετε σχηματικά τη διάταξη που χρησιμοποιήθηκε από τον Chadwick για την ανακάλυψη του νετρονίου και να αναπτύξετε αναλυτικά τον τρόπο με τον οποίο υπολόγισε τη μάζα του.
Η σχέση των μαζών των πυρήνων αζώτου mN και πρωτονίου mp είναι mN = 14mp.

Β. Ένα βλήμα βάλλεται πλάγια από το έδαφος υπό γωνία φ, με αρχική ταχύτητα . Η αντίσταση του αέρα θεωρείται αμελητέα.
Να χαρακτηρίσετε καθεμιά από τις παρακάτω προτάσεις ως λανθασμένη ή σωστή και να δικαιολογήσετε τις απαντήσεις σας.
α. Όταν αυξάνεται η γωνία βολής φ (0o<φ<90o), το βεληνεκές της βολής αυξάνεται.
β. Όταν αυξάνεται η γωνία βολής φ (0o<φ<90o<), το μέγιστο ύψος της βολής αυξάνεται.
γ. Η απόσταση από το έδαφος του σημείου τομής της διεύθυνσης της αρχικής ταχύτητας με την κατακόρυφο που διέρχεται από το σημείο πτώσης του βλήματος στο έδαφος είναι τετραπλάσια του μέγιστου ύψους της βολής.

ΑΠΑΝΤΗΣΗ

A) Παράγραφος 2.11      Σελίδα 60-61-62

B)

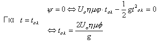
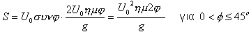
α) Λ διότι : S = U0x * tολ (1)

Από (1) έχω:

αν φ τότε S. Αν 45<φ<90o, αν φ τότε S

β)

γ) Σ διότι: στο τρίγωνο ΟΑΓ


Διαιρώ τις (2) και (3) κατά μέλη:
Ψ1 = 4hmax



ΖΗΤΗΜΑ 2ο

Α. Μια διάταξη που χρησιμοποιείται ευρύτατα στα ηλεκτρικά κυκλώματα είναι το σύστημα δρομέας - αντίσταση. Να σχεδιάσετε τη σύνδεση της διάταξης αυτής σε κύκλωμα που περιέχει ηλεκτρική πηγή, ώστε να λειτουργεί α) ως ποτενσιόμετρο, β) ως ροοστάτης.
Να εξηγήσετε πώς λειτουργεί η διάταξη σε καθεμιά περίπτωση.

Β. Μια θερμική μηχανή μπορεί να λειτουργεί με έναν από τους δύο κύκλους (Ι) και (ΙΙ) που περιγράφονται από τις παρακάτω αντιστρεπτές μεταβολές.
Κύκλος (Ι) :
i) Ισοβαρής εκτόνωση ΑΒ υπό πίεση Ρο με διπλασιασμό της θερμοκρασίας από Το σε 2Το.
ii) Ισόχωρη ψύξη ΒΓ.
iii) Ισόθερμη συμπίεση ΓΑ.
Κύκλος (ΙΙ) :
i) Ισοβαρής εκτόνωση ΑΒ υπό πίεση Ρο με διπλασιασμό της θερμοκρασίας από Το σε 2Το.
ii) Αδιαβατική εκτόνωση ΒΔ.
iii) Ισόθερμη συμπίεση ΔΑ.
α. Να παραστήσετε τις μεταβολές των δύο κύκλων στο ίδιο διάγραμμα, σε άξονες P - V.
β. Να συγκρίνετε τα ολικά έργα που παράγονται σε καθένα από τους δύο αυτούς κύκλους.
γ. Να συγκρίνετε τους συντελεστές απόδοσης της μηχανής για τους δύο αυτούς κύκλους.
δ. Είναι δυνατόν ο συντελεστής απόδοσης αυτής της θερμικής μηχανής να είναι ίσος με 0,5;
Στα ερωτήματα β, γ και δ να δικαιολογήσετε τις απαντήσεις σας.

ΑΠΑΝΤΗΣΗ

A) για το ποτενσιόμετρο
Από σχολικό βιβλίο Γ΄Λυκείου
Σχήμα 5.14 σελ 164 και σελ 164 : « Στην περίπτωση που ενδιαφερόμαστε ... μπορούμε να πάρουμε τάσεις από Ο Volt έως Ε.»
για το ροοστάτη
σχήμα 5.15 σελ 165 ή σελ 165 : « Το σύστημα δρομέας - αντίσταση ... λειτουργεί ως ροοστάτης».

B) α)

Επειδή τα έργα είναι αριθμητικά ίσα με τα εμβαδά των αντιστοιχων κύκλων έχω WΑΒΓΑ = ΕΑΒΓΑ
WΑΒΔΑ = ΕΑΒΔΑ
Παρατηρώ ότι ΕΑΒΔΑ > ΕΑΒΓΑ άρα WΑΒΔΑ > WΑΒΓΑ

γ)

Επειδή WΑΒΔΑ > WΑΒΓΑ τότε α21

Αν μια μηχανή Carnot δούλευε μεταξύ των θερμοκρασιών Τo και 2Τo ο συντελεστής απόδοσης θα ήταν :

Επειδή ο συντελεστής απόδοσης για μια μηχανή Carnot είναι θεωρητικά ο μεγαλύτερος δυνατός , μια μηχανή που δουλεύει μεταξύ των ιδίων θερμοκρασιών που δουλεύει και η μηχανή Carnot δεν μπορεί να έχει μεγαλύτερο ή ίσο συντελεστή απόδοσης .
Αρα ο συντελεστής απόδοσης της θερμικής μηχανής δεν μπορεί να είναι ίσος με 0,5



ΖΗΤΗΜΑ 3ο

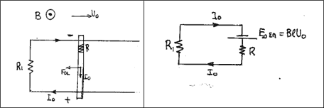
Δύο παράλληλοι αγωγοί Αx και Γy, μεγάλου μήκους,

που βρίσκονται πάνω σε οριζόντιο επίπεδο, όπως φαίνεται στο σχήμα, απέχουν μεταξύ τους απόσταση l = 2m και τα άκρα τους Α και Γ συνδέονται με σύρμα αντίστασης R1. Μεταλλικός αγωγός ΚΛ μήκους l = 2m, που βρίσκεται σε μεγάλη απόσταση από τα άκρα Α και Γ, είναι κάθετος στους δύο αγωγούς Αx και Γy και μπορεί να ολισθαίνει πάνω τους χωρίς τριβές. Ο αγωγός ΚΛ έχει μάζα m = 2kg και ωμική αντίσταση R = 2Ω. Η διάταξη βρίσκεται μέσα σε κατακόρυφο ομογενές μαγνητικό πεδίο που έχει φορά προς τα πάνω και μαγνητική επαγωγή Β = 1Τ. Ο αγωγός ΚΛ αρχικά ηρεμεί. Τη χρονική στιγμή t = 0 δίνεται στον αγωγό αρχική ταχύτητα υ0 = 12m/s.

α. Να βρείτε την τιμή της αντίστασης R1, ώστε το ρεύμα στο κλειστό κύκλωμα τη χρονική στιγμή t = 0 να έχει ένταση Ι0 = 3Α και να υπολογίσετε τη θερμότητα Joule που αναπτύσσεται στο κύκλωμα μέχρι τη χρονική στιγμή που η ένταση του ρεύματος γίνεται Ι = 1Α.

β. Όταν το ρεύμα πάρει την τιμή Ι = 1Α, ασκείται κάθετα στον αγωγό κατάλληλη, οριζόντια, εξωτερική δύναμη αντίθετη προς την ταχύτητά του, ώστε να κινείται με σταθερή επιβράδυνση μέτρου γ = 5m/s2. Να υπολογίσετε το μέτρο της ώθησης της εξωτερικής δύναμης για το χρονικό διάστημα από τη στιγμή της εφαρμογής της μέχρι τη στιγμή που η ταχύτητα του αγωγού θα πάρει την τιμή μηδέν.

ΑΠΑΝΤΗΣΗ

α) Όταν t=0

Όταν I=1A η ταχύτητα του αγωγού είναι U1
Τότε

Για την κίνηση του αγωγού από την στιγμή t=0 που έχει U0 έως την στιγμή που έχει ταχύτητα U1 έχουμε:
ΑΔE

β)

Η ράβδος σταματά μετά από χρόνο t1

Μέχρι το σώμα να σταματήσει η FL μεταβάλλεται με τον χρόνο

Από το εμβαδόν του διαγράμματος F-t



ΖΗΤΗΜΑ 4ο

Το ένα άκρο κατακόρυφου ιδανικού ελατηρίου είναι στερεωμένο σε οριζόντιο επίπεδο. Στο άλλο άκρο του συνδέεται σταθερά σώμα Α μάζας Μ = 3kg. Πάνω στο σώμα Α είναι τοποθετημένο σώμα Β μάζας m = 1kg και το σύστημα ισορροπεί με το ελατήριο συσπειρωμένο από το φυσικό του μήκος κατά y1 = 0,4m. Στη συνέχεια εκτρέπουμε το σύστημα κατακόρυφα προς τα κάτω κατά y2 = 0,8m από τη θέση ισορροπίας του και το αφήνουμε ελεύθερο τη χρονική στιγμή t = 0.

α. Να υπολογίσετε την κυκλική συχνότητα ω της ταλάντωσης του συστήματος και τη σταθερά επαναφοράς D καθεμιάς μάζας ξεχωριστά.
β. Να δείξετε ότι το σώμα Β θα εγκαταλείψει το σώμα Α και να βρείτε τη θέση και την ταχύτητα που έχει εκείνη τη χρονική στιγμή.
γ. Να υπολογίσετε την ώθηση της δύναμης του ελατηρίου από τη χρονική στιγμή t = 0 μέχρι τη χρονική στιγμή που το σώμα Β εγκαταλείπει το σώμα Α.

Δίνεται η επιτάχυνση της βαρύτητας g = 10m/s2.

ΑΠΑΝΤΗΣΗ

Στη Θέση Ισορροπίας ισχύει (Σχ. 1)

α) Ισχύει

Για κάθε ταλαντευόμενο σώμα έχουμε: D=mω2 άρα για το Μ

Ενώ για το m

β) Το y2 = 0,8m αποτελεί το πλάτος της ταλάντωσης.
Η εγκατάλειψη θα συμβεί πάνω από την θέση ισορροπίας.

Στο Σχ. 2 παρατηρώ:

Για το m στη θέση εγκατάλειψης ΣF=-Dy => Fk-mg=-mω2y (2)

Εκεί πρέπει Fk = 0 οπότε η (2) δίνει:

Τη στιγμή της εγκατάλειψης η ταχύτητα του m είναι

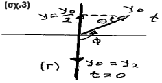
γ) Όπως φαίνεται η εγκατάλειψη γίνεται στη θέση y = y0/2
Ο χρόνος που απαιτείται για να συμβεί αυτό υπολογίζεται με την βοήθεια στρεφομένου διανύσματος (Σχ. 3).


Παρατηρώ

Οπότε η γωνία που διαγράφει το στρεφόμενο y0 είναι φ=90ο+θ =120ο
Από απλή μέθοδο των τριών έχω:

Για 360ο το y0 χρειάζεται Τ
Για 120ο " " t=T/3.

Δηλαδή

Για τον υπολογισμό της Ώθησης της δύναμης ελατηρίου γράφω το Θεώρημα Ώθησης-Ορμής από t=0 έως t=2π/15 sec

Η φορά της είναι προς τα πάνω.